和平精英辅助瞄准职业

和平精英如何制作绘制辅助

和平精英是一款非常受欢迎的多人在线射击游戏,许多玩家为了在游戏中获取优

  • 78
和平精英透视辅助软件官网

和平精英透视辅助软件是一种第三方辅助工具,旨在提升玩家在游戏《和平精英

  • 72
和平精英花蝴蝶辅助下载

和平精英花蝴蝶辅助是一种游戏辅助工具,旨在帮助玩家在《和平精英》中获得

  • 161
和平精英小时卡辅助器下载

和平精英小时卡辅助器是一种帮助玩家在游戏中提升竞争力的工具。通过使用这

  • 180
和平精英怎么开辅助系统

在《和平精英》中开启辅助系统可以显著改善玩家的瞄准精度,尤其是对新手玩

  • 79
和平精英模拟器黑豹辅助

和平精英模拟器黑豹辅助是一款专为游戏玩家设计的辅助软件,它提供了多种功

  • 168
和平精英追猎者辅助怎么用

和平精英追猎者辅助是一款广受玩家欢迎的工具,旨在提高玩家在游戏中的竞争

  • 184
和平精英辅助3.2版本

和平精英辅助3.2版本是为了提升玩家在《和平精英》游戏中的体验而开发的一款

  • 155
和平精英游戏进入辅助模式

在《和平精英》这款热门游戏中,辅助模式可以帮助玩家更好地适应游戏环境,

  • 180
辅助与输出和平精英哪个好

辅助与输出在和平精英中实际上各有其独特的价值,但如果要直接给出答案,输

  • 109
和平精英辅助需要做哪些

和平精英辅助在当今手游中扮演了重要的角色,玩家通过这些辅助工具能够提升

  • 143
和平精英小橘子辅助2.0

小橘子辅助2.0是为《和平精英》玩家提供的一款强大辅助工具,其主要功能包括

  • 201
和平精英百度辅助软件下载

和平精英是一款广受欢迎的射击类手游,许多玩家为了提升游戏体验和获得更好

  • 143
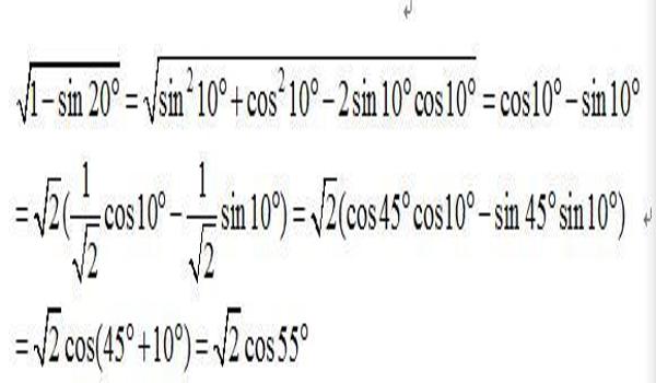
和平精英辅助角公式数学

辅助角公式是三角函数中的一个重要工具,广泛应用于数学分析和应用问题中。

  • 103
和平精英第三辅助软件

和平精英是一款广受欢迎的多人在线战术竞技游戏,然而,许多玩家为了在游戏

  • 80
辅助瞄准在哪里和平精英

辅助瞄准功能在《和平精英》中可以提高玩家的射击精度和游戏表现。要打开这

  • 64
和平精英辅助器推荐用法

和平精英辅助器的使用方法不仅能提升游戏体验,还能提高玩家的胜率。以下是

  • 134
和平精英最好辅助软件

和平精英是一款备受欢迎的战术竞技类手游,为玩家提供了紧张刺激的吃鸡体验

  • 81
和平精英球球辅助破解版

和平精英球球辅助破解版是一款针对《和平精英》游戏的辅助软件,旨在为玩家

  • 156
和平精英辅助有哪些软件

和平精英是一款广受欢迎的多人在线射击游戏,许多玩家为了在游戏中获得更好

  • 58
和平精英哪里找辅助器啊

要寻找《和平精英》的辅助器,玩家可以通过以下几种途径获取: 网络搜索 :

  • 94
和平精英辅助器推荐测评

和平精英辅助器的使用在当前游戏环境中引起了一定的争议。许多玩家为了提升

  • 145
和平精英狗王辅助破解版

和平精英狗王辅助破解版是一款为《和平精英》游戏设计的辅助工具,旨在帮助

  • 170
和平精英全自动辅助工具

和平精英全自动辅助工具是一些针对《和平精英》这款热门手游所开发的辅助软

  • 168
和平精英包子辅助瞄准吗

辅助瞄准在《和平精英》中是一个极具实用性的功能,尤其对于新手玩家而言,

  • 144
和平精英国际服木偶辅助

和平精英国际服(PUBG Mobile)是一款备受玩家欢迎的多人在线射击游戏,玩家在

  • 152
和平精英怎么改辅助瞄准

首先,修改《和平精英》中的辅助瞄准设置可以帮助玩家根据自己的喜好调整游

  • 56
和平精英电脑辅助神器下载

关于和平精英电脑辅助神器的下载方法,玩家可以通过几个步骤来获取相关辅助

  • 173
华为p30和平精英辅助

华为P30是一款备受欢迎的手机,其在游戏中的表现,尤其是在《和平精英》这款

  • 114
和平精英什么辅助器材质好

和平精英是一款受欢迎的多人在线射击游戏,许多玩家借助辅助器材来提升游戏

  • 110
双开和平精英辅助工具在哪

双开和平精英辅助工具可以通过多个平台和网站下载。常见的下载渠道有: 百

  • 131
精英和平辅助器下载安装

下载安装精英和平辅助器的步骤相对简单,具体如下: 下载步骤 选择下载网站

  • 129
和平精英压枪是一直压吗

在《和平精英》中,压枪是一项至关重要的技能,帮助玩家在激烈的战斗中保持

  • 102
和平精英手柄辅助器右手

和平精英手柄辅助器右手主要功能为提升游戏操作的精确性和灵敏度,帮助玩家

  • 121
和平精英手游透视辅助器

和平精英手游透视辅助器是一种被广大玩家使用的游戏辅助工具,它能够帮助玩

  • 198
和平精英怎么取消不了辅助

在《和平精英》中,取消辅助功能的步骤相对简单,但一些玩家可能会遇到无法

  • 121
和平精英鸭腿辅助怎么用

和平精英鸭腿辅助是一款流行的游戏辅助工具,主要用于提高玩家在游戏中的表

  • 126
和平精英小霸王压枪软件

和平精英小霸王压枪软件是一款旨在帮助玩家提高游戏中枪械控制能力的工具,

  • 170
和平精英线外辅助软件

和平精英线外辅助软件是一类极具争议性的工具,主要用于提升玩家在游戏中的

  • 140
和平精英仙人辅助闪退

和平精英仙人辅助闪退问题的解决方案及深度分析 闪退问题在《和平精英》中

  • 186
和平精英有没有三指压枪

在《和平精英》这款游戏中,确实存在三指压枪的功能。三指压枪是指玩家在游

  • 93
键鼠和平精英压枪有多稳

在《和平精英》这款游戏中,使用键鼠的玩家在控制后坐力和压枪稳定性方面通

  • 59
和平精英自瞄穿墙辅助器

自瞄穿墙辅助器在《和平精英》中被广泛应用,其功能和使用引发了不少讨论。

  • 79
天狼辅助和平精英设备码

天狼辅助和平精英设备码是一种用于增强游戏体验的工具,尤其是在《和平精英

  • 107
和平精英压枪技术怎么练

在《和平精英》这款游戏中,压枪技术是影响战斗效果的关键技能之一。通过有

  • 97
和平精英防空炮辅助软件

和平精英防空炮辅助软件是一款针对热门手机游戏《和平精英》的辅助工具,旨

  • 135
和平精英压枪哪里最稳当

在《和平精英》中,压枪的技术是许多玩家追求精准射击的关键。压枪最稳当的

  • 52
和平精英电脑压枪鼠标

关于《和平精英》电脑压枪鼠标的特点与使用技巧 《和平精英》是一款备受欢

  • 153
和平精英教学六倍镜压枪

在《和平精英》中,使用六倍镜进行压枪是玩家夺取胜利的重要技巧之一。掌握

  • 156
和平精英手柄辅助器外设

和平精英手柄辅助器外设在移动游戏中具有重要的地位,特别是在《和平精英》

  • 113
和平精英五个辅助软件

和平精英是一款备受欢迎的竞技射击游戏,为了提高玩家的游戏体验,一些辅助

  • 200
和平精英辅助框架怎么开

要开启和平精英辅助框架,通常需要以下步骤: 下载辅助框架 :选择一个适合

  • 120
和平精英为什么压枪特别抖

和平精英中压枪抖动的现象是许多玩家普遍面临的问题,主要源于几方面的原因

  • 132
和平精英的压枪4倍镜

在《和平精英》这款手机游戏中,四倍镜是玩家们常用的一种瞄准镜,其弹道特

  • 75
和平精英瞬狙开进辅助器

关于《和平精英》的瞬狙开进辅助器,瞬狙是一项重要的游戏技巧,能够让玩家

  • 140
和平精英小米游戏辅助在哪

在《和平精英》游戏中,小米游戏辅助主要提供向新手玩家友好的辅助瞄准功能

  • 137
和平精英先开镜怎么压枪

在《和平精英》中,先开镜压枪是一项重要的射击技巧,这不仅可以提升射击的

  • 90
和平精英压枪必备音乐

和平精英是一款备受欢迎的团队竞技射击游戏,玩家在游戏中追求高水平的枪法

  • 170
和平精英手柄辅助器四指

和平精英手柄辅助器四指是指一种特殊的游戏外设,主要用于提升玩家在游戏《

  • 202
和平精英的压枪怎么搞

在和平精英中,压枪是一项至关重要的技能。掌握这项技能可以显著提高你的命

  • 81
和平精英小米平板辅助器

透视辅助器和平精英小米平板辅助器的功能和特点 在“和平精英”这款热门的

  • 169
怎么使用和平精英辅助神器

使用和平精英辅助神器的步骤如下: 使用步骤 下载与安装 : 首先,需要找到

  • 66
和平精英压枪是按什么键

在《和平精英》中,压枪的核心是通过合理的按键设置和灵敏度调整来控制枪械

  • 69
和平精英功能最全辅助软件

和平精英是一款备受欢迎的多人在线战斗竞技游戏,为了帮助玩家在游戏中取得

  • 104